Azam Tv Frequency And Symbol Rate

How To Track Nigcomsat 1r 42 5 Degree East Frequencies Tv Channels


Towards Achieving A Delicate Blending Between Rule Based Translator And Neural Machine Translator Springerlink

7 Deveaux Ct South Barrington Il 60010 Realtor Com
Azam Tv Latest Frequency Symbol Rate Channels List Other Details

How To Track Nigcomsat 1r 42 5 Degree East Frequencies Tv Channels
Full Article I Owe My Life To The Kind Individual Who Called The Helpline Exploring The Interplay Of Self Views And Social Distance In Narrative Advertising On Domestic Violence Prevention In India And

The Impact Of Informal Financial Groups On Socio Economic Development In Tanzania Kinyondo 2019 African Development Review Wiley Online Library

All Tv Tanzania Apk Download For Android Latest Version 1 0 Com Tv Alltv Tanzania

Eutelsat 7 E Freq 12558 V 4035 Biss Key Aa Bb 12 77 34 Cc Dd Dd Id Fox Sports Fox Sports Sports Fox

Applied Sciences Free Full Text Towards The Discovery Of Influencers To Follow In Micro Blogs Twitter By Detecting Topics In Posted Messages Tweets Html

Badrsat 26 East Full Channel List Mbc All Channels Mpeg2 Receiver Youtube
Azam Tv Latest Frequency Satellites Dish Engineers Facebook

Remote Sensing Free Full Text Large Scale Particle Image Velocimetry To Measure Streamflow From Videos Recorded From Unmanned Aerial Vehicle And Fixed Imaging System Html

Mbc Max Frequency Tp Satellite Badr Satellites Tv Channel Frequencies
Satellite Tv Receivable In Africa With Their Channels Tps Frequencies

Mbc Package Review Frequency Dish Size And Package Satgist

Ebook Gravity Geoid And Space Missions Ggsm 2004 Iag International Symposium Porto Portugal August 30 September 3 2004 International Association Of Geodesy Symposia 129 2005

Compliance To Speed Limit Device Very Low In Plateau Read Full Details Road Safety Commercial Vehicle Motorist
Azam Tv Latest Frequency Satellites Dish Engineers Facebook

Eutelsat 7b 7Âșe Mbc Fta Latest Frequency Channels List And Tracking Tips

Hot Bird Frequency Tp Frequencies Satellites Satellite Tv

1152 Nw 100th Ave Unit 1152 Pembroke Pines Fl 33024 Realtor Com

Geniatech X9120 Pcie Dvb S2 S Digital High Definition Satellite Dual Tuner Ci Card For Htpc Iptv Linux Server Electronics Amazon Com

Cholinergic Modulation Of Striatal Microcircuits Abudukeyoumu 2019 European Journal Of Neuroscience Wiley Online Library

13140 Fencerow Rd Fort Worth Tx 76244 Realtor Com

Watch 2019 Copa America On L Obs Tv Senegal For Free Satgist

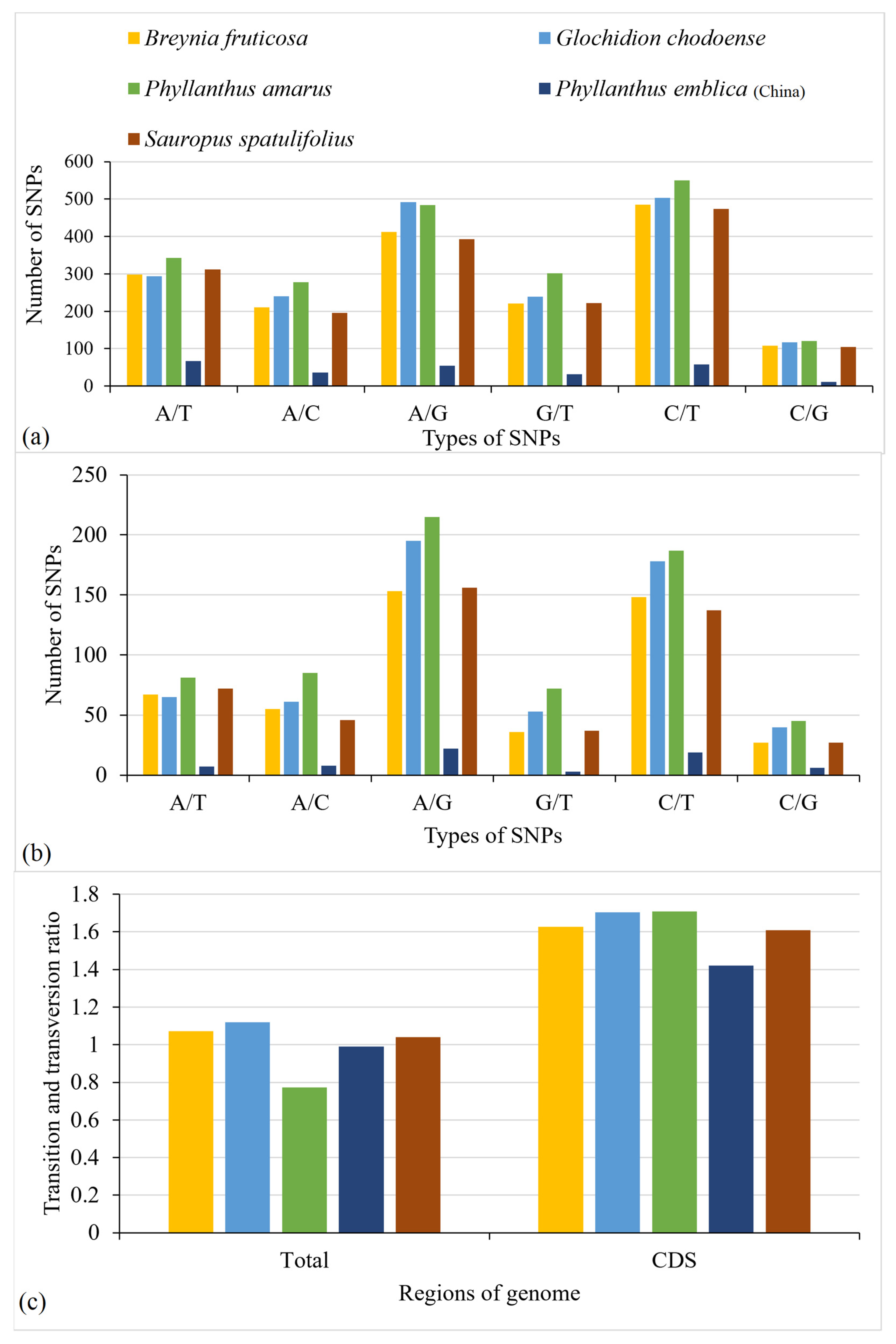
Diversity Free Full Text Comparative Chloroplast Genomics In Phyllanthaceae Species Html

The Facts Around Zoom And Encryption For Meetings Webinars Zoom Blog

Amazon Com Geniatech X9120 Pcie Dvb S2 S Digital High Definition Satellite Dual Tuner Ci Card For Htpc Iptv Linux Server Electronics

Satellite Tv Receivable In Africa With Their Channels Tps Frequencies

Eutelsat 7b 7Âșe Mbc Fta Latest Frequency Channels List And Tracking Tips

Ssanu Others Begin Indefinite Strike Https Goo Gl We8gwg Best University World University Student Protest

Dstv Error Codes Error Code Coding Fix It

ۧÙÙ
Ű”Ű±Ù Ű§ÙŰ„Ù۱ÙÙÙ ÙÙŰȘÙÙ
ÙŰ© ÙŰŻŰźÙ ÙÙ ŰŽŰ±Ű§ÙŰ© ÙŰȘۯ۱ÙŰš 1000 ۧÙ
۱ۣ۩ Ù
ÙۧÙÙŰ© ۚۄÙ۱ÙÙÙۧ Civil Engineering Communications Strategy Construction Company

Four Long Noncoding Rnas Act As Biomarkers In Lung Adenocarcinoma
The Boston Globe 14 Sep 2021 Pdf Tropical Cyclones Gulf Coast Of The United States

Eutelsat 7b 7Âșe Mbc Fta Latest Frequency Channels List And Tracking Tips

Sv 400 Channel Frequency Change Youtube

Diversity Free Full Text Comparative Chloroplast Genomics In Phyllanthaceae Species Html

Ourtv Channels List Dealers Frequency And Symbol Rate

Essd A Global Viral Oceanography Database Gvod

13140 Fencerow Rd Fort Worth Tx 76244 Realtor Com

Yayi Tv Frequency And Channels Updates Subscription Tracking Satellite Tv Satellites First Tv

Yes Tv Package On Amos 3 7 4w Frequency Symbol Rate Satgist

Mbc 2 Frequency Tp 2020 Badr Sat Tv Channel Satellites Free Tv Channels

S D A Family Sdachurchworld Twitter

The World Conference On Ecological Restoration

Essd A Global Viral Oceanography Database Gvod

Tslp Signaling Network Revealed By Silac Based Phosphoproteomics Molecular Cellular Proteomics

Remote Sensing Free Full Text Large Scale Particle Image Velocimetry To Measure Streamflow From Videos Recorded From Unmanned Aerial Vehicle And Fixed Imaging System Html

High Dietary Salt Intake Correlates With Modulated Th17 Treg Cell Balance Resulting In Enhanced Bone Loss And Impaired Bone Microarchitecture In Male Mice Scientific Reports

Telenovela Channels Romanza Africa And Telemundo Capture New Auds In Africa Variety

The Use Of English In The Professional World In China He 2017 World Englishes Wiley Online Library

How To Adjust A Dish Tv Antenna Ideas By Mr Right
Azam Tv Latest Frequency Satellites Dish Engineers Facebook

Low Temperature Ionic Layer Adsorption And Reaction Grown Anatase Tio2 Nanocrystalline Films For Efficient Perovskite Solar Cell And Gas Sensor Applications Scientific Reports

Essd A Global Viral Oceanography Database Gvod

7e Eutelsat Latest Update 09 10 2019 Best Fta English Movie Satellite By Dish Tips

Hum Tv Channel Frequency Tv Channel Drama Tv Shows Satellite Tv

Cosmote Tv How To Track Cosmote Tv On Eutelsat 9a 9b Satgist

How To Run An Automatic Search On Your Startimes Combo Decoder Youtube

Afe Babalola University How To Pass Exams University Zaria

How To Track Nigcomsat 1r 42 5 Degree East Frequencies Tv Channels

Chinese Mux Cctv5 And Eleven Sport On Eutelstat 7a Satgist

Azam Tv Channels Frequency Tp Dealers Packages And Prices

Processes Controlling The Composition And Abundance Of Arctic Aerosol Willis 2018 Reviews Of Geophysics Wiley Online Library

Eutelsat 7b 7Âșe Mbc Fta Latest Frequency Channels List And Tracking Tips

Epilepsy Public Knowledge And Attitude In A Slum Area Of Karachi Pakistan Seizure European Journal Of Epilepsy

Nigcomsat 1r Origin Frequency Channels And How To Track Satgist

The Parliamentarian 2021 Issue Two Delivering A Common Future Connecting Innovating Transforming By The Parliamentarian Issuu

Gallery Of Final Projects Cs50x 2021

D2d Communications Scenarios Can Be Categorized In Terms Of The Download Scientific Diagram
![]()
Starfish Are Dying At An Alarming Rate And Pollution Is To Blame
Digiturk Trt Sport Mbc Rodriguez On Eutelsat 7a At 7 0e News Fmuser Fm Tv Broadcast One Stop Supplier

How To Adjust A Dish Tv Antenna Ideas By Mr Right

Calameo Eng Tele Satellite 1001

1552 Pendelton Ct Palatine Il 60067 Realtor Com

Azam Tv Full Kit New Decoder Dish Antenna Accessories 2 Free Months Youtube

1552 Pendelton Ct Palatine Il 60067 Realtor Com






